Here are some solved examples of Simplification :
Example. 1 : 
Solution :
According to the VBODMAS rule first we solve virnaculum/bar, then (), {} and [] respectively.
So, y - [y - (x + y) - {y - (y - x + y)} + 2x]
= y - [y - (x + y) - {y - (2y - x)} + 2x]
= y - [y - (x + y) - {y - 2y + x} + 2x]
= y - [y - (x + y) - {x - y} + 2x]
= y - [y - (x + y) - x + y + 2x]
= y - [y - (x + y) + y + x]
= y - [y - x - y + y + x]
= y - [y] = y - y = 0
Example. 2 : 45 ÷ 9 of 5 = ?
Solution :
According to the VBODMAS rule first we solve 'of' and then 'division'.
So, 45 ÷ 9 of 5 = 45 ÷ 45 = 1
Example. 3 : 52 ÷ 13 of 2 + [ 3 + 8 × 4 ] = ?
Solution :
52 ÷ 13 of 2 + [ 3 + 8 × 4 ]
= 52 ÷ 26 + [ 3 + 32 ]
= 2 + 35 = 37
Example. 4 : 3 ÷ 3 ÷ 3 ÷ 3 ÷ 3 ÷ 3 = ?
Solution :
3 ÷ 3 ÷ 3 ÷ 3 ÷ 3 ÷ 3
= 3/3×3×3×3×3
= 1/81
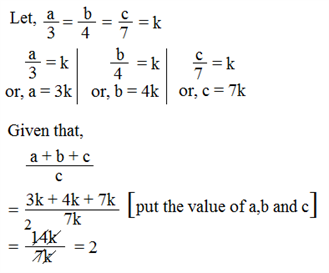
Example. 5 : of 966 + 226 = of x ; find the value of x ?
Solution :
Example. 6 : Simplify : 0.6 × 0.6 + 0.6 ÷ 6 ?
Solution :
0.6 × 0.6 + 0.6 ÷ 6
= 0.36 + 0.1
= 0.46
Example. 7 : Simplify : 216 ÷ 72 of 1/8 + 4/5 × 3 3/4
Solution :
216 ÷ 72 of 1/8 + 4/5 × 3 3/4
= 216 ÷ 9 + 4/5 × 15/4
= 24 + 3 = 27
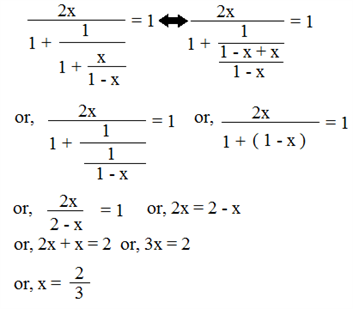
Example. 8 : If then find the value of x ?
Solution :
Example. 9 : 812 ÷ 162 of 323 × √(256) = 2x , find the value of x ?
Solution :
812 ÷ 162 of 323 × √(256) = 2x
or, 2x = (23)12 ÷ (24)2 of (25)3 × 16
or, 2x = 236 ÷ 28 of 215 × 24
or, 2x = 236 ÷ 28+15 × 24
or, 2x = 236 ÷ 223 × 24
or, 2x = 236-23 × 24
or, 2x = 213 × 24
or, 2x = 213+4 = 217
or, x = 17
Example. 10 : 
Solution :
|