NUMBER SYSTEM QUIZZES
Q.1. The difference between the place value and the face value of 7 in the numeral 639758 ?
- A - 7
- B - 700
- C - 693
- D - 6093
Correct Answer is option - C Explanation :
In the numeral 639758
The place value of 7 = 7 × 100 = 700
and the face value = 7
So, the difference between the place value and face value = 700 - 7 = 693
Q. 2. What is the unit digit in 7543 ?
Correct Answer is option - D Explanation :
71, 72, 73 and 74 gives unit digit 7, 9, 3 and 1 respectively.
7543 = [(74)135 × 73 ]
So, 74 gives unit digit 1 and 73 gives unit digit 3
Therefore, required unit digit = [1135 × 3] = (1 × 3) = 3
Q. 3. 8378 - ? = 5833 - 4298
- A - 5743
- B - 6843
- C - 6743
- D - 5742
Correct Answer is option - B Explanation :
Let, 8378 - X = 5833 - 4298
or, 8378 - X = 1535
or, 8378 - 1535 = X
or, X = 6843
Q. 4. (1000)8 ÷ 1021 = ?
- A - 1000
- B - 100
- C - 10000
- D - 10
Correct Answer is option - A Explanation :
(1000)8 ÷ 1021 = (103)8 ÷ 1021
= 1024 ÷ 1021 = 10(24 - 21) = 103 = 1000
Q. 5. 8 + 88 +888 +8888 +88888 +888888 = ?
- A - 879654
- B - 987648
- C - 988648
- D - 896748
Correct Answer is option - B Explanation :
8 + 88 +888 +8888 +88888 +888888
= 8 [ 1 + 11 + 111 + 1111 + 11111 + 111111 ]
= 8 [ 123456 ]
= 987648
Q. 6. 0.7 + 0.77 + 0.777 + 0.7777 + 0.77777 = ?
- A - 7.17862
- B - 3.79247
- C - 3.80247
- D - 4.80347
Correct Answer is option - C Explanation :
0.7 + 0.77 + 0.777 + 0.7777 + 0.77777
= 7 [ 0.1 + 0.11 + 0.111 + 0.1111 + 0.11111 ]
= 7 [ 0.54321 ]
= 3.80247
Q. 7. Find the value of X, where X = 123 × 64 ÷ 432.
- A - 5148
- B - 5084
- C - 5184
- D - 5248
Correct Answer is option - C Explanation :

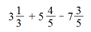
Q. 8. Find the value of ?
Correct Answer is option - A Explanation :

Q. 9. 15783 × 9999 = ?
- A - 158813117
- B - 147814217
- C - 166841217
- D - 157814217
Correct Answer is option - D Explanation :
15783 × 9999 = 15783 × (10000 - 1)
= 157830000 - 15783
= 157814217
Q. 10. (74)2 - (26)2 = 40 × A, then A = ?
- A - 4800
- B - 120
- C - 480
- D - 240
Correct Answer is option - B Explanation :
(74)2 - (26)2 = 40 × A
or, 40 × A = (74 + 26) × (74 - 26) [·.· a2 - b2 = (a + b)(a - b)]
or, 40 × A = 100 × 48
or, A = 4800/40
or, A = 120
Q. 11. Find the value of (370 × 370 + 130 × 130 + 2 × 370 × 130) = ?
- A - 2500
- B - 250000
- C - 500
- D - 150000
Correct Answer is option - B Explanation :
Let 370 = a and 130 = b
Then we have, (a × a + b × b + 2 × a × b)
= (a2 + b2 + 2.a.b) = (a + b)2
= (370 + 130)2 [put, a = 370 and b = 130]
= (500)2 = 250000
Q. 12. Find the sum of 35 natural numbers ?
- A - 420
- B - 1260
- C - 630
- D - 530
Correct Answer is option - C Explanation :
Let, the sum of n numbers be Sn
Then Sn =(1 + 2 + 3 + ........ + 35)
Clearly we see that, this is in an A.P.
Where first term, a = 1; common difference, d = 1; total numbers, n = 35
So, we know that Sn = n/2 [2a + (n - 1)d] = 35/2 [ 2 × 1 + (35 - 1) × 1 ]
= 35/2 [ 2 + 34 ] = 35/2 × 36 = 35 × 18 = 630
|